<B B

Ibisobanuro bigufi:

PRODUCT Details
  • Ibisobanuro by’ibicuruzwa

Isosiyete ya SZB-9 Automatike Ubuso Bwihariye Gupima Ingirakamaro Ibisabwa CBT80074-2008 Instic of Crovero n’ibikoresho bishya bya SZB-9 Imashini igenzurwa na microcomputer imwe kandi ikorerwa urufunguzo rwuzuye kugirango uhite ugenzura inzira zose zo gupima. Mu buryo bwikora gufata mu mutwe agaciro k’ibikoresho, byerekana neza ubuso bwihariye nyuma yo gupima, kandi uhita ufata gufata mu mutwe agaciro kanini gake mu gihe wandikaga umwanya ugeragezwa.

Tekinike:

1. Imbaraga zo gutanga ingufu: 220V ± 10%

2. Igihe ntarengwa: Amasegonda 0.199

3. Igihe gikwiye: <0.2 Amasegonda = "">

4. Gupima neza: <1>

5. Ubushyuhe buringaniye: 8-34 ℃

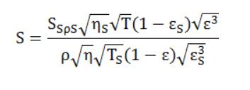
6. Agaciro gake gaciro s: 0.1-999 cm² / g

7. Umwanya wa Porogaramu: Uruhare rwerekanwe muri GB / T8074-2008

Ibikoresho bya BlaineAutomatic yihariye isesengura ryakarereAutomatic Blaine Apparatus

Amakuru

Iyimura as PDF
–>
Umuntu
Icyo ari cyo cyose Bigyanye Ibikorwa, Kigenga Kuri Ku Icyo ari cyo cyose Igihe.
GUHINDURA
Leave Your Message

If you are interested in our Ibikorwa, you can choose to leave your information here, and we will be in touch with you shortly.